our products

Why Sypetec?

Our MISSION

  • Promote industry progress
  • achieve personal value
  • The pursuit of perfect excellence
Help domestic high-quality pharmaceutical technology and equipment to go abroad, to enhance the pharmaceutical technology level of emerging countries.

NEWS

Read the Latest News

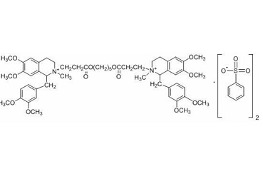
USP 43 Atracurium besylate injection manufacturing process

25 Dec 2019
Atracurium besylate injection, molecular formula: C65H82N2O18S2, molecular weight: 1243.49, its structural formula is:The indication is suitable for skeletal muscle relaxation during general anesthesia in various surgical operations, and also suitable for muscle relaxation required during tracheal intubation.

SYPETEC have export kinds of medicine to many countries

30 Sep 2017
SYPETEC have export kinds of medicine to many countries with their own professional team working on registration, preparing dossiers and on-site auditing to satisfy with different cGMP requirements from different countries.

SYPETEC, which supply

29 Jun 2017
SYPETEC, which supply turn-key service for pharmaceutical industry according to cGMP and related requirements that covers process equipement, analysis equipment, packaging equipment, clean room, utility facility, formulation technology transfer, validation service and all document etc.