GMP Atracurium Besylate USP43 injectable grade
Offer requestINTRODUCTION
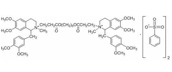
CAS NO.64228-81-5
Features
Atracurium besylate is a nondepolarizing, intermediate-duration, skeletal neuromuscular blocking agent. Nondepolarizing agents antagonize the neurotransmitter action of acetylcholine by binding competitively to cholinergic receptor sites on the motor end-plate. This antagonism is inhibited, and neuromuscular block reversed, by acetylcholinesterase inhibitors such as neostigmine, edrophonium and pyridostigmine. The duration of neuromuscular blockade produced by atracurium besylate is approximately one-third to one-half the duration seen with d-tubocurarine, metocurine and pancuronium at equipotent doses. As with other nondepolarizing neuromuscular blockers, the time to onset of paralysis decreases and the duration of maximum effect increases with increasing atracurium besylate doses. The pharmacokinetics of atracurium besylate in man are essentially linear within the 0.3 to 0.6 mg/kg dose range. The elimination half-life is approximately 20 minutes. The duration of neuromuscular blockade does not correlate with plasma pseudocholinesterase levels and is not altered by the absence of renal function.
Request product information
