Icodextrin API Manufacturer Supplier Provider. CAS 337376-15-5.
Offer requestINTRODUCTION
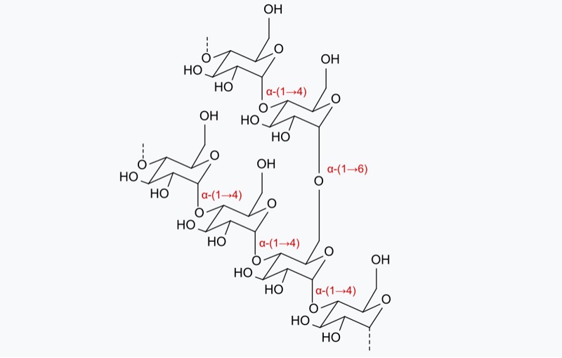
Icodextrin API Process Flow chart
Features
Request product information
